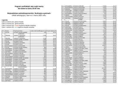
DROGIE PANIE WAŻNE prezentujemy dane z marca 2025 dotyczące Programu profilaktyki raka szyjki macicy oraz program wczesnego wykrywania raka piersi– dane z marca 2025
Spotkanie wielkanocne w Kłaninie
Bobolice kwitną dzięki Tobie!